PEYZAJ PROJELERİ, 11.11.2011 TARİHİNDE MECLİS KARARIYLA KABUL EDİLEN ANTALYA BÜYÜKŞEHİR İMAR YÖNETMELİĞİ` NDE YERİNİ ALMIŞTIR
2009 yılı Mayıs ayında Antalya Büyükşehir Belediyesi tarafından başlatılan "Büyükşehir İmar Yönetmeliği Revizyon Çalışması", içinde bulunduğumuz 2011 yılı Kasım ayı itibariyle tamamlanmış bulunmaktadır. Bu iki yılı aşkın süre zarfında Peyzaj Mimarlığı` nın, Antalya Büyükşehir İmar Yönetmeliği` nde hak ettiği yeri alması için gereken emeğin üretilmesine gayret edilmiştir.
ANTALYA BÜYÜKŞEHİR İMAR YÖNETMELİĞİ REVİZYON SÜRECİ VE PEYZAJ MİMARLARININ İMAR YÖNETMELİĞİNDE YER ALMASINA DAİR ŞUBE ÇALIŞMALARIMIZ
2009 yılı Mayıs ayında Antalya Büyükşehir Belediyesi tarafından başlatılan "Büyükşehir İmar Yönetmeliği Revizyon Çalışması", içinde bulunduğumuz 2011 yılı Kasım ayı itibariyle tamamlanmış bulunmaktadır.
İmar Yönetmeliği‘ ne dair revizyon çalışmalarının devam ettiği bu iki yılı aşkın süre zarfında Peyzaj Mimarları Odası Antalya Şubesi olarak; 1973 yılından itibaren varlığını sürdüren ve ülkenin fiziki planlarında ekolojik veri tabanına göre planlama ilkeleri üretebilen tek meslek disiplini olan Peyzaj Mimarlığı‘ nın, Antalya Büyükşehir İmar Yönetmeliği‘ nde hak ettiği yeri alması için gereken emeğin üretilmesine gayret edilmiştir.
Bu süre zarfında, yapı ruhsat aşamasında tüm parsellerde peyzaj projesinin zorunlu olmasına dair taleplerimizin korunması kaydıyla her defasında üzerinde tekrar tekrar çalışılarak güncellenen imar yönetmeliğine dair 8 adet öneri raporumuz, 2008-2011 yılları arasında Büyükşehir Belediyesi‘ ne sunulmuştur.
Yönetmelik öneri raporlarımızın amacına uygun olarak değerlendirilmesi ve hedeflenen sonuca ulaşabilmesi için; gerek başkanlık düzeyinde, gerek imar daire başkanları ve imar müdürleri başta olmak üzere konu ile ilgili karar mekanizmasında etkili bürokratlarla, gerekse yönetmelik revizyon çalışmalarına birebir katkı koyan teknokratlarla görüşmelerimiz gerçekleştirilmiştir.
Belediye meclis üyeleri ile gerçekleştirilen birebir görüşmelerle, öneri raporlarımızda mesleki hak ve yetkilerimizin edinilmesine yönelik hususların teknik gerekçeleri ve yasal dayanakları, nihai kararı verecek yetkililere aktarılmıştır.
TMMOB Antalya Meslek Odaları İl Koordinasyon Kurulu bünyesinde oluşturulan ve İnşaat, Elektrik, Harita, Jeoloji Mühendisleri Odaları‘ nın yer aldığı İmar Komisyonu‘ nda yer alınmış, Odamız öneri raporumuzda yer alan tüm hususlara komisyon raporunda da yer verilerek, mesleğimize dair taleplerimizin diğer meslek mensupları tarafından da destek görmesi sağlanmıştır.
Tüm bu raporlarımız, görüşmelerimiz, komisyon çalışmalarımızda; bunların yanı sıra gerçekleştirilen basın açıklamalarımızda, mesleki ihtisas alanımız ile hak ve yetkilerimize dair taleplerimizi ifade ederken mütekerrir kereler;
"Fiziksel planlar üretmek üzere yetiştirilen Peyzaj Mimarları ve ürettikleri peyzaj projeleri, Büyükşehir İmar Yönetmeliği‘ nde hak ettiği yeri almalıdır!" ifadesi yinelenmiştir.
"Antalya‘nın Her cm² si İçin Peyzaj Projesi İstiyoruz!" sloganıyla yola çıkarak internet ortamında yerel düzeyde bir imza kampanyası düzenlenmiştir. İmza kampanyası, ulusal ölçekte de destek görmüş ve toplam 1216 kişin imzası, ilgili mercilerle, bunun yanı sıra basın aracılığıyla Antalya kamuoyu ile paylaşılmıştır.
İmar yönetmeliği ile ilgili nihai kararın verileceği son meclis toplantısına kadar, konunun gündeme alındığı/alınma ihtimalinin olduğu tüm meclis toplantılarına üyelerimizden ve yönetim kurulu üyelerimizden oluşan teknik bir ekiple gözlemci olarak katılınmıştır.
PEYZAJ PROJELERİ, BÜYÜKŞEHİR YENİ İMAR YÖNETMELİĞİ‘ NDE YERİNİ ALDI!
İki yılı aşkın bir süredir devam eden bu sürecin sonunda, kentimiz yeni imar yönetmeliği, 11.11.2011 tarihinde gerçekleştirilen Büyükşehir Belediyesi Meclisi‘nde görüşülmüş ve kabul edilmiştir. Yönetmeliğin, meclis üyeleri tarafından oy çokluğu ile kabul edildiği nihai şeklinde;
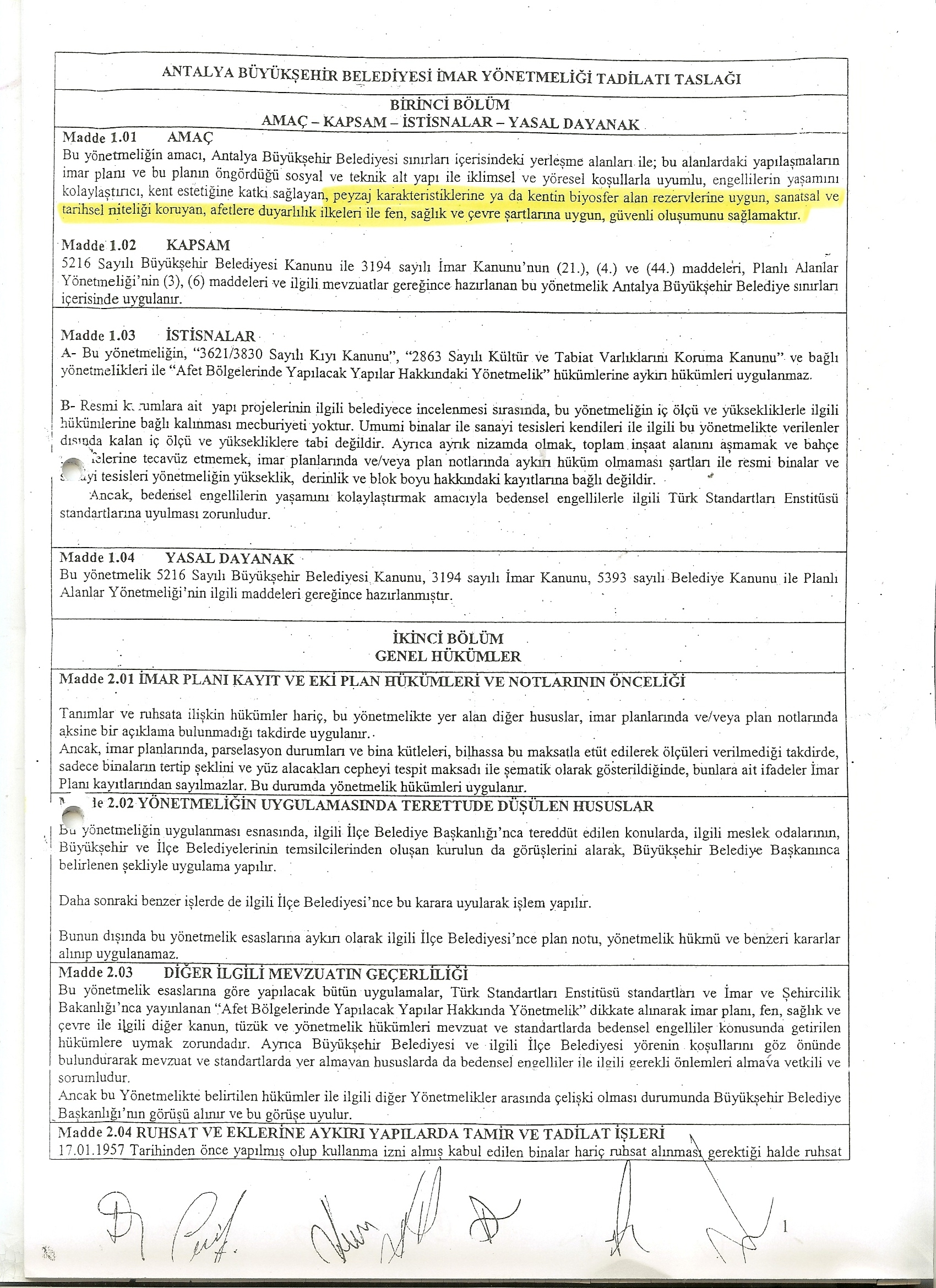
- AMAÇ-KAPSAM-İSTİSNALAR-YASAL DAYANAK başlığı ile 1. Bölümde, AMAÇ başlıklı 1.01 maddesinde tanımlanan yönetmelik amacı, tamamiyle şubemizin önerisi doğrultusunda tanımlanmıştır. Bu şekli ile Antalya Yeni İmar yönetmeliği, ülkemizde "peyzaj karakteristikleri ve kentsel biyosfer rezervleri" kavramlarına yer veren ve bunlara uygun planlamaları amacı olarak tanımlayan ilk yönetmelik olma özelliğine sahip olmuştur.
1.01 AMAÇ maddesinin, yeni il imar yönetmeliğimizde yer aldığı şekli aşağıdaki gibidir:
"Bu yönetmeliğin amacı, Antalya Büyükşehir Belediyesi sınırları içerisindeki yerleşme alanları ile; bu alanlardaki yapılaşmaların imar planı ve bu planın öngördüğü sosyal ve teknik alt yapı ile iklimsel ve yöresel koşullarla uyumlu, engellilerin yaşamını kolaylaştırıcı, kent estetiğine katkı sağlayan, peyzaj karakteristiklerine ya da kentin biyosfer alan rezervlerine uygun, sanatsal ve tarihi niteliği koruyan, afetlere duyarlılık ilkeleri ile fen, sağlık ve çevre şartlarına uygun, güvenli oluşumunu sağlamaktır." Ek (1)
- ADA VE PARSEL İLE İLGİLİ HÜKÜMLER başlığı ile 5. Bölümde ise, İMAR PARSELİ ZEMİNİ DÜZENLENMESİ İLE İLGİLİ HÜKÜMLER başlıklı 5.02.4 maddesinde, GENEL HÜKÜMLER (h) bendinde, 2000 m² üzeri konut ve turistik tesis parsellerinde peyzaj projesi istenmesi öngörülmüştür.
Buna göre 5.02.4 maddesi, yeni il imar yönetmeliğimizde yer aldığı şekliyle aşağıdaki gibidir:
"Mimari proje vaziyet planı ve yerleşim planı esas olması koşuluyla 2000 m² ve üzeri konut ve turistik tesis alanlarında peyzaj projelerinin hazırlanarak, ruhsat eki projeler arasında yer alması zorunludur." Ek (2)
TEŞEKKÜR
Bu sürecin her aşamasında şubemize desteğini esirgemeyen Genel Merkezi‘ mize, çalışma dönemlerinde ürettikleri emekle bu sürecin başlangıç ve gelişme aşamalarına katkı sunan önceki dönem şube yönetim kurulu üyelerine; TMMOB İKK İmar Komisyonu bileşenleri olan İnşaat Mühendisleri Odası, Elektrik Mühendisleri Odası, Harita Mühendisleri Odası, Jeoloji Mühendisleri Odası, Makine Mühendisleri Odası Antalya Şubeleri‘ ne; sesimizi kamuoyuna duyurmamıza katkı veren yerel basının değerli mensuplarına, gözlemci ekibimizle birlikte Belediye meclis toplantılarına katılarak meslek odasının yanında duruş sergileyen üyelerimize teşekkürlerimizi; Büyükşehir Belediyesi Meclis Üyesi Makine Mühendisi Sn Mustafa KARAMAN‘ a, Odamız Genel Sekreteri Sn Redife KOLÇAK‘ a; şubemiz imar komisyon üyeleri Sn Zeynep GÜNEŞ, Sn Zübeyde ÖZSU, Sn Rukiye DEDE, Sn Selçuk SAYAN‘ a ve Şube Personelimiz Sn Neslihan Ünal YALÇIN‘ a özel teşekkürlerimizi sunarız.
Saygılarımızla.
Teoman AKÇALI
TMMOB PEYZAJ MİMARLAR ODASI
ANTALYA ŞUBESİ 9. DÖNEM YÖNETİM KURULU BAŞKANI
Ek (1) : Büyükşehir İmar Yönetmeliği, sayfa 1
Ek (2) : Büyükşehir İmar Yönetmeliği, sayfa 24
En Çok Okunanlar
-
MESLEKİ DENETİM UYGULAMASI
/2007
Okunma Sayısı:47061
-
PEYZAJ MİMARLIĞI HİZMETLERİ EN AZ BEDEL HESABI, ARTIK ODAMIZ OTOMASYON SİSTEMİ ÜZERİNDEN ÜYELERİMİZİN HİZMETİNE AÇILDI
/2010
Okunma Sayısı:44974
-
SÖZLEŞME ÖRNEKLERİ
/2007
Okunma Sayısı:40008
-
BÜRO TESCİL BELGESİ (BTB) ALMA KOŞULLARI
/2007
Okunma Sayısı:39027
-
Plansız Alanlar Imar Yönetmeliği
/2006
Okunma Sayısı:38290
-
MESLEKİ TANINIRLIĞIMIZDAKİ EN ÖNEMLİ ADIM
/2006
Okunma Sayısı:36303
-
KAMU İHALE KURUMU HÜKÜMLERİ GEREĞİ İŞ BİTİRME BELGESİ İLE İLGİLİ BİLGİLENDİRME
/2008
Okunma Sayısı:34936
-
6831 Sayılı Orman Kanunu
/2006
Okunma Sayısı:34359
-
SÖZLEŞMELİ/ÜCRETLİ PEYZAJ MİMARI ASGARİ ÜCRETLERİ
/2011
Okunma Sayısı:33863
-
KEŞİF-METRAJ VE İHALE DOSYASI HAZIRLANMASI
/2009
Okunma Sayısı:31662